F. X 線画像の形成と画質
a. 画像の拡大とひずみ
b. 散乱X 線の影響
c. コントラスト特性(2012 25)
○特性曲線の測定方法とその特徴
・タイムスケール法
:タイマーにて露光量(t)を変化させる
表示タイマーと露光量のリアリティ(短時間領域)が問題で、線量モニタが必須
アナログ系では相反則不軌の影響を受けるため使用不可
・距離法
:距離の逆二乗則を利用して露光量(I)を変化させる
広いダイナミックレンジを得るためには、数10メートルの距離が必要
距離制限のある装置への対応が問題で、放射口に金属フィルタを付加するなどで解決
・ブートストラップ法
:アルミステップを、露光量を変化させて撮影する(例:1倍と2倍)
露光量範囲が不十分であったり、入出力特性取得のための作図が複雑である
散乱線X線の影響を受ける
d. 解像特性〈解像度、鮮鋭度〉 (2015 29、2013 26)
○MTF
:横軸:空間周波数
縦軸:MTF値(1.0~0までの値)
1に近い程解像特性が良い
○MTFの測定方法とその特徴
・エッジ法
:ESFを取得→微分しLSFに変換→フーリエ変換によってMTFを算出
テストデバイスが安価で、入力信号を得るためのアライメントが厳密でなく、画像取得が容易
微分処理でノイズは増幅するため、平滑化が必要でLSFへの外挿の判断や基準の決定が難しい
IECにてDQEを算出する際のMTFの測定方法として推奨される
・スリット法
:デルタ関数(インパルス信号)を入力して得たLSFのフーリエ変換によってMTFを算出
X線管とスリット開口部のアライメント調整が重要で、十分な強度の信号を得るのが難しい
テストデバイスが高価、アライメント調整器具も必要で、経済的負担がある。
取得したスリット画像からのMTF解析は比較的容易である
・矩形チャート法
:矩形波に含まれる基本波(正弦波)の応答からMTFを算出
テストデバイスが安価で入力信号を得るための画像取得が比較的容易である
解析者間のMTF測定結果のばらつきが少ない
コルトマン補正式で矩形波レスポンス関数を正弦波レスポンス関数に変換する
○プリサンプルドMTF
:X線検出部(アナログMTF)と画像読取部(アパーチャMTF)で決まる
エリアシングの影響を含まない
エッジ法、スリット法、矩形チャート法で測定
○オーバーオールMTF
:オーバーオールMTF=デジタルMTF×画像処理フィルタMTF×ディスプレイMTF
主にこれでシステム全体のMTFを評価する。
e. 雑音特性〈粒状性〉 (2015 29 30、2014 記述)
:ノイズ量を空間周波数ごとに示す。自己相関関数をフーリエ変換して得られる。
・粒状性が悪いと低コントラスト分解能が低い
・粒状性には入射X線量モトル(光量子ノイズとX線量子ノイズ)が最も大きな影響を与える
・標本化間隔によって起こるエリアシングの影響を受ける。
○量子モトル:低周波領域に影響する。
量子モトルのWS ∝ (0.43)2G2 × MTF(u)2 × 1/N
G:X線フィルムのグラディエント(ガンマ)
N:単位面積当たりの光子の平均数
○固定ノイズ
構造ノイズ、電気系ノイズ、量子化ノイズなど撮影線量に依存せず一定の値を示すもの
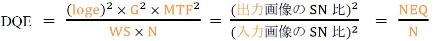
f. NEQ〈雑音等価量子数〉、DQE〈検出量子効率〉
○DQE(検出量子効率)………物理特性的総合画像評価 (2012 28)

NEQ:雑音等価量子数 (画像の形成に寄与した光子数)
G:デジタル特性曲線のグラディエント q:単位面積当たりの量子数
MTF:プリサンプルドMTF WS:デジタルウィナースペクトル
・横軸:空間周波数
・DQEが理想的な検出器はDQE=1 (最大値は1)
・高周波数でDQEは低下する
・DQEが同じ画像でもMTFとWSは違う可能性がある


コメント