1. 基礎
A. データの分類
a. 質的変数、量的変数
b. 離散変数、連続変数
c. 名義尺度、順序尺度、間隔尺度、比率〈比例〉尺度
d. 母集団、標本
○標本の抽出方法
★層化(層別)抽出法 (2013 61)
母集団をあらかじめいくつかの層に分けておき、各層の中から必要な数の調査対象を無作為に抽出する方法
【メリット】
母集団内情報(年齢別、性別など)の比較を行える、母集団の推測の精度が増す、
各層において分布が大きく異なる場合に使うことができる
【デメリット】
母集団の構成情報を事前に知っておく必要がある
・クラスター抽出法(集落抽出法)
1.母集団を、小集団である「クラスター(集落)」に分ける
2.分けられたクラスターの中から、いくつかのクラスターを無作為抽出する
3.それぞれのクラスターにおいて全数調査を行う
【メリット】クラスターの情報さえあれば抽出することができるので、時間や手間を節約できる
【デメリット】同じクラスターに属する調査対象は似た性質を持ちやすいため、標本に偏りが生じる
・多段抽出法
母集団をいくつかのグループに分け、そこから無作為抽出でいくつかグループを選び、さらにその中から無作為抽出でいくつかのグループを選び・・・という操作を繰り返して、最終的に選ばれたグループの中から調査対象を無作為抽出する方法
【メリット】コストを低く抑えられる、抽出効率が高い
【デメリット】サンプルサイズが小さい場合、標本に偏りが生じる可能性がある
・系統抽出法
通し番号をつけた名簿を作成し、1番目の調査対象を無作為に選び、2番目以降の調査対象を一定の間隔で抽出する方法
【メリット】単純無作為抽出より手間や時間やコストが掛からない
【デメリット】名簿の並び順に何らかの周期があると標本に偏りが生じる可能性がある
e. 記述統計、推測統計
・評価の要素 (2017 29、2015 63、201 62、2013 62、2012 61)
※(1)+(4)=1、(2)+(3)=1
*陽性的中率(PPV) (2017 29、2013 62)
・ROC曲線 (2014 62、2012 61)
・その他ROCの解析 (2012 61)
(1)FROC曲線(自由応答ROC解析)
複数の信号に対する評価(数はいくつでも選択可能)
縦軸に真陽性率 横軸:一画像当たりの偽陽性数
(2)LROC曲線(位置決定ROC解析)
信号の有無だけでなく位置も認知させる解析法
信号の数は一つ
○平均ROC曲線 (2012 61)
(1)アベレージ法:観察者間の変動が大きい場合、各観察者のFPFにおける全観察者のTPFの平均値を求める方法
(2)プール法:試料ごとに観察者の評定値を平均化して求める方法。画像試料ごとに平均化した値を求める
*プール法で得られたROC曲線は真のROC曲線よりも悪くなる傾向を示すので、アベレージ法が推奨される
B. データの図表化
a. 度数分布表、累積度数分布表
b. ヒストグラム
c. クロス集計表
d. 散布図
e. 相関表
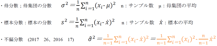
C. 基本統計量
a. 平均値、中央値(メディアン)、最頻値(モード) (2016 16)
・平均値:すべての値を足して、データの数で割ったのも
・中央値:データを小さい順で並べて、全体の中央に位置する値
・最頻値:データの中で最も頻度が高い値
*母集団が正規分布に従う場合、標本平均と母平均は一致する
*母集団が正規分布に従う場合、標本平均と母平均は一致しない
c. 比率
d. オッズ比
★微分方程式の一般解 (2014 63)





コメント